给定一个链表,返回链表开始入环的第一个节点。 如果链表无环,则返回 null。
如果链表中有某个节点,可以通过连续跟踪 next 指针再次到达,则链表中存在环。 为了表示给定链表中的环,评测系统内部使用整数 pos 来表示链表尾连接到链表中的位置(索引从 0 开始)。如果 pos 是 -1,则在该链表中没有环。注意:pos 不作为参数进行传递,仅仅是为了标识链表的实际情况。
不允许修改 链表。
示例 1:

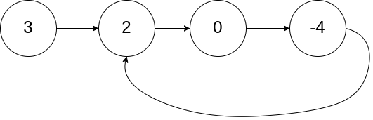
输入:head = [3,2,0,-4], pos = 1
输出:返回索引为 1 的链表节点
解释:链表中有一个环,其尾部连接到第二个节点。
示例 2:

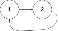
输入:head = [1,2], pos = 0
输出:返回索引为 0 的链表节点
解释:链表中有一个环,其尾部连接到第一个节点。
示例 3:

输入:head = [1], pos = -1
输出:返回 null
解释:链表中没有环。
来源:力扣(LeetCode)
链接:https://leetcode-cn.com/problems/linked-list-cycle-ii
著作权归领扣网络所有。商业转载请联系官方授权,非商业转载请注明出处。
分为两步,先判断链表中有没有环,再找出环的入口。另外跟链表中环的位置也有关系,分为以下三种情况:
- 没有环则返回NULL
- 纯环(循环链表),入口就是head
- 前面是单链表,后面是环
如示例1,我们假设单链表长度(节点数)为 d,环的周长为 r,快指针比慢指针快一倍,假设快慢两指针在距离环的入口 x 处相遇,则有 d+n*r+x = 2*(d+x),得 d=n*r-x。于是分别让两指针(等速)从 head 和距离环的入口 x 处开始遍历,则一定会在环入口处相遇。
1 | /** |

